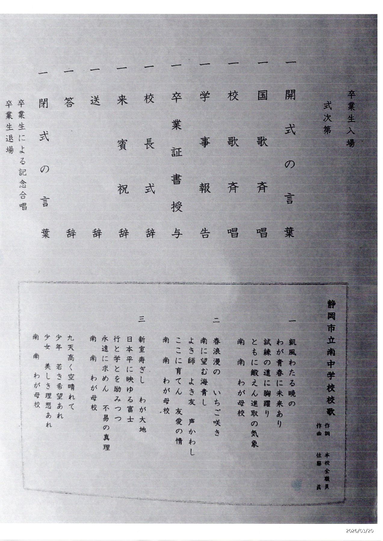
◎3月19日「卒業証書授与式」が行なわれました。
宮竹学区より木下連合会長が参列しました。

============<卒業式以上>============
◎「南中だより3月号」です。

=======================================
◎「南中だより2月号」です。

======================================
◎静岡市教育委員会より
「学校における働き方改革」の協力・依頼内容です。

===============<以 上>==============
◎「駿風だより1月号」です。

==========<1月号以上>==========
◎「駿風だより12月号」です。

=====================================
◎「駿風だより11月号」です。

======================================
◎静岡県中学校「総合文化祭」のお知らせです。
======================================
◎「駿風だより」10月号です。

=============<10月号以上>================
◎「駿風だより」8月号です。

=============================
◎「駿風だより」7月号です。

==============================
◎令和7年6月21日「南中学校区健全育成会」が行なわれました。

発表の児童・生徒一同
ミニコンサートの吹奏楽部
==============================
◎令和7年度「南中学校後援会理事会」が6/12、19時より行なわれました。
※各部活動の報告です。
※後援会役員です。
会 長:三津山 清
副会長:鷲野裕次郎、木下俊也、長島源策
会 計:鈴木輝男
会計監査:鈴木和則、野澤和俊
庶務・会計・出納:鈴木元樹
==============================
◎南中学校区青少年健全育成会「子育て講演会」が行なわれました。


●木下会長挨拶
●「講師紹介」石岡宮竹小校長先生
●講師 静岡大学教育学部 塩田真吾准教授
●橋口南中学校長
============<健全育成会以上>============
◎「駿風だより6月号」です。

====================================
◎「駿風だより5月号」です。

=====================================
◎4月30日「南中施設利用協議会総会」が行なわれました。
管轄地域:宮竹学区・大里東学区・久能学区・大谷学区

============<施設利用総会以上>==============
◎「学校だより4月号(駿風だより)」です。

======================================
◎3月29日「南中学校吹奏楽部演奏会」が行なわれ大勢の方が 来場されました。


